2021年7月18日,浙江大学公共卫生学院慢性病研究所何威研究员在国际著名期刊Annals of Oncology (IF=32.9)上在线发表题为“CYP2D6 Genotype Predicts Tamoxifen Discontinuation and Drug Response: A Secondary Analyses of the KARISMA Trial”的研究论文。
他莫昔芬是一种非甾体抗雌激素药物,被广泛用于雌激素受体阳性乳腺癌患者的内分泌辅助治疗。CYP2D6作为他莫昔芬的主要代谢酶之一,参与其代谢形成活性代谢产物。何威研究员2020年发表于Journal of Clinical Oncology (IF=44.5) (PMID: 31800347)的研究发现,CYP2D6超速代谢者较正常代谢者,在服用标准剂量的他莫昔芬后,有更高的中断治疗率以及更高的乳腺癌死亡率。
但是,之前的研究存在以下弱点:1)未测量他莫昔芬代谢产物浓度;2)他莫昔芬相关副反应是通过用药记录间接定义的;3)癌症的放化疗极大干扰抗雌激素治疗与乳腺癌预后之间的关系。
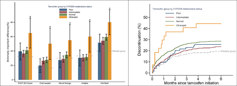
为了克服以上弱点,何威研究员依托KARISMA随机对照临床试验,在参加他莫昔芬预防乳腺癌项目的健康人群中进行相关研究。研究发现,在健康人群中,与正常代谢者相比,CYP2D6超速代谢型者在服用他莫昔芬后,有更高的药物转化率,更高的药物副反应,以及更高的中断治疗率。以上发现为基于CYP2D6基因型进行他莫昔芬药物精准治疗提供了新证据。


